激光测振仪测振系统搭配机器振动监测应用
3D视觉技术一度被公认为是具备提升机器人能力、扩充应用场景的关键,其原理主要利用光学成像,结构光、ToF三种原理,使得机器人能够以一种三维的形态“看见”和理解事物,从而让机器人具备更高的能动性,集成商让机器人看见物体的同时与力传感器等进行结合,以此让机器人能够完成较为基础的柔性化生产和更多应用;激光测振仪工作原理是在视觉基础上利用非接触测量方式,将激光多幅频率的原理与激光干涉技术提取物体振动速度原理结合,利用外差干涉使得物体运动精度达到皮米级;这为智能制造、电力系统巡检机器人、交通运输以及医疗等高精密度的场景应用都提供了另外一种可行新思路;下文将会对激光测振仪系统在机器人振动巡检的应用进行介绍。
一、智能机器人光学感知技术
相比于人类的五大感知器官,机器人对外界环境的感知主要依赖于接触式及非接触式传感器,常见的有激光测振模块、深度相机和TOF模组等;

传统的光学图像传感器、TOF传感器以及结构光传感器,虽在人脸识别和服务机器人的物体识别领域大量应用,但无法满足工业机器人所需要的高精度和高速度的要求;激光测振传感器,由于其精度较高,高速度,非接触等属性特点,适合在工业产品及设备的质量识别领域获得应用,是人类视觉、听觉、触觉三种感官的延伸,产品原理属性具有较高的精度和速度。
深度相机随着机器视觉、自动驾驶等技术的逐步发展,采用3D相机进行物体识别、行为识别、场景建模的相关应用越来越多,可以说深度相机就是终端和机器人的眼睛;相比较传统的相机,深度相机在功能上添加了一个深度测量,从而更方便准确的感知周围的环境及变化;三维建模、无人驾驶、机器人导航、手机人脸解锁、体感游戏等都用到了深度相机来实现其功能。
二、LDV激光测振仪技术工作原理
LDV激光测振技术工作原理:激光多普勒测振法
激光多普勒测振法是能够直接获取微小位移和速度分辨率的振动测量方法之一,已被广泛用于基础科学领域;激光多普勒测振仪能实现纳米级的振幅分辨率,线性度高,在很高频率范围内仍能确保振幅的一致性;而特性不受测量距离影响;因此无论是近距离的显微测试还是远距离测试,该原理均适用。
激光测振仪系统采用激光作为探测手段,完全无附加质量影响,具有非侵入性,从而能够在很小和极轻质的结构上进行测量;激光多普勒测振仪(Laser Doppler Vibrometer)采用非接触式测量方式,利用激光多普勒频移效应产生频差的原理,并结合激光干涉技术来提取各种物体的振动速度、位移及加速度等信息,其基本原理包含:

激光多普勒测振仪工作原理及组成介绍:
2.1、多普勒效应
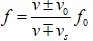
振源与观察者之间存在着相对运动,使观察者听到的声音频率发生变化的现象称为“多普勒效应”;当声源远离观测者音调变得低沉,声波的波长增加频率变小;当声源接近观测者音调就变高,声波的波长减小频率变大;音调的变化同声源与观测者间的相对速度和声速的比值有关,这一比值越大改变就越显著,称为“多普勒效应”,公式为:
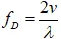
其中f为观察到的频率,f0为发射源于该介质中的原始发射频率,v为波在该介质中的行进速度,v0为观察者移动速度;若接近发射源则前方运算符号为+号,反之则为-号;vs为发射源移动速度,若接近观察者则前方运算符号为-号,反之则为+号; 如果激光测振光波被运动物体反射并被LDV检测到,则所测量到的频移可以描述为公式:
其中v是物体速度,?是入射波波长;反过来为了能确定目标对象速度,需要在已知波长的情况下测量(多普勒)频移,这正是通过LDV中的激光干涉模块来完成。
2.2、外差干涉
频率的变化通过马赫曾德尔干涉仪转换成光强的时域信号,其频域可用于电子进一步的处理,在干涉仪内激光束被分成参考光束和测量光束;从探头反射的光与参考光束发生干涉,除了参考光束的强度iR和反射光的强度iM外,光电探测器中记录的强度还包含取决于光程Δr的差值部分,如果该差值是光波长的整数倍则总强度是单个光强的四倍。

探测器记录的干涉光强度的变化与物体是否接近或远离测振仪无关;鉴于此将光频移典型值为??(通常为40MHz)的声光调制器(布拉格盒)放置在参考光束中;当参考光束的频率偏移固定量fb时,两个光束对固定探头的干涉都会产生随频率fb变化的谐波强度;当样本处于静态时将产生40MHz的典型干涉调制频率;因此当样本朝干涉仪移动时调制频率会增加;当样本远离干涉仪移动时,则检测器接收到的频率则小于40MHz;这意味着激光测振仪不仅能准确检测光程长度,还能检测出运动方向;获取调制频率途径:双频激光器、声光移频器、电光移频器等。

外差干涉解决方案具有明显的优势:由于仅使用高频交流信号检测多普勒频率和物体的速度,因此不会受到仪器中低频噪声(例如电源)的干扰;非线性效应光电检测器以及所有信号预处理阶段均不会影响多普勒调制内容的完整性。

3、激光光源
激光光源是确定激光多普勒测振仪性能和眼睛安全性的关键因素;除了传统的基于He-Ne激光的测振仪之外,还推出了基于短波红外(SWIR)激光的测振仪,下文为He-Ne以及SWIR介绍:
3.1、氦氖激光器
He-Ne激光源的波长为632.8nm;红色的测量光束肉眼可见,无需指示激光即可定位;在相对短的波长下,激光束可以聚焦到非常小的光斑直径,这使He-Ne激光测振仪适合用于测量微结构;由于吸收微不足道,氦氖激光器也可以通过水下进行测量。
3.2、红外激光器
为了在反射不良的表面或远处的物体上获得信号和数据质量;使用波长为1550nm的具有最高的眼睛安全等级的的红外激光器,同时用同轴指示激光定位不可见的测量光束;红外测振仪的单纵向激光模式为几乎所有振动测量任务提供了足够信号质量的条件,同时具有高温稳定性、使用寿命长等附加特性。
4、解调
将测量信号和噪声分离、放大等处理后,从已经调制的信号中提取反映被测量值的测量信号,这一过程称为解调;通过解调从干涉光强度中获得有关被测物体运动的信息;转换为数字信号后,信号处理器会实时确定测量对象的位移,速度和加速度;解调(通常也称为解码)包含对位移、速度或加速度的处理。

激光测振仪系统的振动位移、速度、加速度关系:


因此三者关系为:位移、速度、加速度都是同频率的简谐波,三者的幅值相应为此外在相位上位移落后速度90º,加速度领先速度90º;激光测振仪类型激光多普勒测振仪类型包括单点式激光测振仪、差分式激光测振仪、全场扫描式激光测振仪、显微式激光测振仪、多通道激光测振仪等类型,可根据应用需求选取不同类型的激光测振仪;激光测振仪较传统振动传感器的优势:激光测振仪具有非接触、远距离、精度较高、灵敏度高和高频响等优点,同时适用于高温环境及各种材质,且不受环境电磁干扰影响。
三、LDV激光测振仪及3D视觉传感部分产品介绍
3.1、LDV激光测振仪产品系列

3.2、氦氖单点激光测振仪

四、激光测振仪在结合机器人应用需求分析
需求分析1:激光测振系统振动噪声测试及声品质评价
振动和噪声是产品品质重要评测标准之一,因为它关系到产品的质量、可靠性和寿命,关系到人们的安全和健康,所以必须对振动和噪声进行监测和控制;振动和噪声的传统检测方法是用手摸外壳,用耳朵听异音等;或用接触式传感器进行检测;这些传统检测方法存在如下的缺点:测试结果存在人的主观因素,结果不准易误判;测试效率低;影响工作人员的身体健康;容易损伤产品外观;接触式传感器频繁接触易损坏,增加制造成本。

需求分析2:基于激光测振仪和3D视觉智能机器人解决方案

为了解决传统振动噪声监控方法的缺点,采用非接触的LDV激光测振与3D视觉传感的多传感融合及智能机器人技术,可以为智能制造领域提供完善的解决方案。
五、激光多普勒测振仪系统结合机器人应用案例分享
5.1、电力智能巡检机器人(振动、声音监测)

5.2、激光测振仪测量机器人手臂的振动
5.3、激光测振仪针对工业机器人振动抑制测试

5.4、机床刀具非接触式激光测振磨损诊断应用

5.5、运动控制平台振动测试

5.6、电机生产线振动监测与诊断

六、综述:
所以激光测振传感系统是人类视觉,听觉,触觉三种感官的延伸,将在机器人产品及设备的质量识别领域获得应用;深度相机就是终端和机器人的眼睛;随着机器视觉,自动驾驶等颠覆性的技术逐步发展,采用3D相机进行物体识别、行为识别、场景建模的相关应用将越来越多;振动和噪声是产品品质重要评测标准之一,因为它关系到产品的质量、可靠性和寿命,关系到人们的安全和健康,所以必须对振动和噪声进行监测和控制;为了解决传统振动噪声监控方法的缺点,采用非接触的LDV激光测振与3D视觉传感的多传感融合及智能机器人技术,可以为智能制造领域提供完善的解决方案;普通的光学视觉传感仅可以看到物体的表面,而激光测振传感可探查到物体的内在特性。
