差分激光测振仪相对位移测试的应用
差分式激光多普勒测振仪产品介绍:
差分式光纤激光多普勒测振仪使用外差干涉仪工作原理获得机械振动或瞬时振动过程的特征;测试光从被测物体反射后携带被测物的振动信息,反射回光纤探头,并经由光纤传输到高精密的激光干涉仪中,与参考光发生干涉;干涉信号携带物体振动的速度、位移、振动频率等信号,通过信号解调、滤波、放大等处理获取相应的信息;差分式光纤激光多普勒测振仪可实时检测两点被测点的振动差分数据,实现两点同步测量,以及两点间相对位移差的测量。

本文将利用差分激光测振仪进行两点间相对位移的测试:
关于差分式激光多普勒测振仪同一点测量数据差值对比,在实验室进行了测试,测试条件为:将振动台静置在光学台上,差分激光测振仪一前一后放置并将两个光点都稳定在同一点,改变振动台的频率与幅值进行测试,测试环境如下图:

差分激光测振仪测量数据如下:
频率/Hz | 设备一幅值/um | 设备二幅值/um | 差值/um | 误差/% |
10 | 941.6592 | 950.2597 | 8.6005 | 0.913335 |
20 | 504.9531 | 509.342 | 4.3889 | 0.86917 |
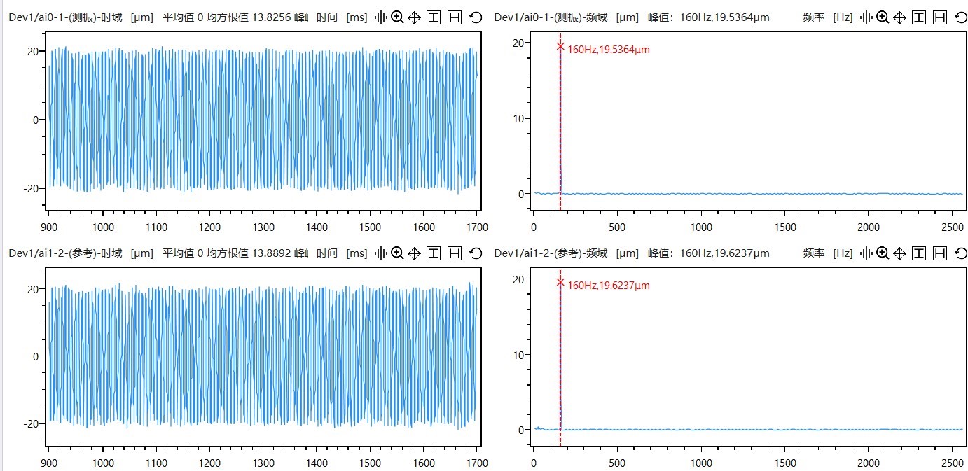
160 | 19.5364 | 19.6237 | 0.0873 | 0.446858 |

10Hz 测试数据

20Hz 测试数据

160Hz 测试数据

10Hz 时域相位情况图

20Hz 时域相位情况图

160Hz 时域相位情况图
激光测振仪差分位移测试总结:
通过不同频率不同振幅的采样分析,差分式激光测振仪差值会随振幅变化而变化,但相对误差稳定在1%左右;
通过对时域相位的比较,差分式激光测振仪在时间的一致性能够满足相对位移测试的需求。
